Si vous êtes tombé sur cette page, c’est sans doute que vous recherchez actuellement une solution pour maigrir plus rapidement.
Vous avez fait des tonnes de recherches sur des aliments/produits qui pourraient booster votre perte de poids naturellement et celles-ci vous ont toutes conduit vers CE produit : le vinaigre de cidre.
Vous en avez entendu le plus grand bien, mais vous ne savez pas si cela marche vraiment ou si c’est encore un « super produit » à la mode comme ils en poussent à foison (le plus souvent avant l’été 😃).
Ou peut-être que vous avez déjà essayé le vinaigre de cidre pour maigrir, mais que vous n’avez pas obtenu les résultats qu’on vous avait promis avec.
Ou peut être que vous vous êtes fait de faux espoirs tellement souvent que vous ne savez plus quoi faire ni qui croire.
Si vous êtes dans cette situation, alors sachez que vous êtes au bon endroit et à la fin de cet article tout sera beaucoup plus clair pour vous 😉.
Dans cet article, vous saurez si oui ou non le vinaigre de cidre est vraiment efficace pour perdre du poids naturellement ou si c’est encore un mensonge comme il y en a tellement dans le monde de perte de poids.
Voici ce que vous allez découvrir aujourd’hui :
SOMMAIRE
Et bien entendu, comme toujours sur le blog, vous connaissez ma marque de fabrique 😃, je ne sors absolument rien de mon chapeau et cet article n’en fait pas exception car il est appuyé par une trentaine d’études scientifiques.
Vous êtes prêt(e) ? Alors c’est parti 😊.
Avant de savoir si le vinaigre de cidre est efficace pour perdre de la graisse et de fouiller un peu dans la littérature scientifique, commençons déjà par voir ce qu’est le vinaigre de cidre.
C’est la base quand même 😉.
1. C’est quoi le vinaigre de cidre ?
Le vinaigre de cidre est un vinaigre doux, peu acide avec un léger goût fruité (très agréable 😊) qui est fabriqué à partir de jus de pommes fermentés.

Ce vinaigre ne semble pas daté d’hier…
Certains historiens rapportent que dans la Grèce antique, vers 400 av. J.-C., Hippocrate, considéré comme le père de la médecine moderne, l’utilisait chez certains patients (accompagné de miel) pour traiter plusieurs symptômes grippaux comme le rhume ou bien la toux.
Voici l'une des choses qu'il a dite :
Guérir est une question de temps, mais c’est aussi souvent une question d’opportunité.
De nos jours, les médecins modernes le prendraient pour un déséquilibré mental :
« Arrêtez la drogue et prenez plutôt un sirop pour la toux, des pastilles pour la gorge et un petit antalgique en bonus, il n’y a rien de mieux. »
Simple et (IN)éfficace 😃.
Aujourd’hui, le vinaigre de cidre est essentiellement utilisé dans la cuisine pour la réalisation de vinaigrettes, de certaines sauces, la cuisson de certaines viandes et petite astuce :
Il est aussi excellent pour faire gonfler vos gâteaux sans levure chimique (en association avec du bicarbonate de soude bien entendu 😉).
2. Comment est fabriqué le vinaigre de cidre ?
La fabrication du vinaigre de cidre se réalise en 2 étapes :
1re étape :
Pour fabriquer du vinaigre de cidre, vous allez écraser des pommes pour en extraire le jus.
Ensuite vous allez ajouter de bonnes bactéries et un ferment actif au jus que vous venez d’extraire, ce qui va enclencher le processus de fermentation alcoolique.
Ce qui veut dire que le sucre va se transformer en alcool.
Durant cette fermentation, la colonie de bactéries acétique va produire une pellicule (ou film) sombre et celle-ci est appelée : la mère de vinaigre.

Vous pouvez observer cette mère de vinaigre en jetant un petit coup d’œil au fond de votre bouteille de vinaigre de cidre à condition qu’elle n’ait pas été filtrée, ni pasteurisée, comme la majorité qui se vendent dans le commerce 😉.
Beaucoup de personnes attribuent les bienfaits du vinaigre de cidre à cette mère de vinaigre pour sa richesse en bonnes bactéries, mais aucune étude ne l’a encore prouvé.
Pour des raisons d’esthétique produit, les producteurs filtrent souvent le vinaigre de cidre pour en retirer ce film (et ne pas donner l’impression d’un produit rance).
Une fois que vous avez obtenu votre alcool, ce n’est pas encore fini…
2e étape :
Vous allez y ajouter de bonnes bactéries sources d’acide acétique (acétobacter) qui va permettre de convertir l’alcool en vinaigre.
Et c’est essentiellement sur cet acide acétique (le composant actif du vinaigre) que nous allons nous concentrer dans cet article et vous allez comprendre pourquoi.
Le vinaigre de cidre contient en moyenne entre 5 à 6% d’acide acétique.
Pour information, ce qui donne ce goût si particulier au vinaigre de cidre est l’association de l’acide acétique (du latin acetum qui veut dire vinaigre) et de l’acide malique présent dans certains fruits comme les pommes, poires, et le jus de raisin.
Au passage, comme on en parlera dans cet article, je vous fais aussi un petit rappel de chimie :
Voici une image pour que vous puissiez mieux comprendre :

Voilà, maintenant que vous savez ce qu’est le vinaigre de cidre et comment celui-ci est fabriqué, j’aimerais rectifié certaines conneries qu’on entends à son sujet (et Dieu seul sait qu’il y en a 😃) avant de vous parler de ses (vrais) bienfaits.
3. Les 3 mythes au sujet du vinaigre de cidre
1) Le vinaigre de cidre est un brûleur de graisse naturel
Je vois souvent certaines personnes dire que le vinaigre de cidre, grâce à son acidité, a la capacité de « brûler vos graisses »…
Alors j’ai beau tourner ma tête dans tous les sens, je ne vois toujours pas par quel miracle cela est possible 😃.
Le vinaigre de cidre n’est pas un brûleur de graisse et il n’a pas la capacité de cibler spécifiquement vos graisses pour les éliminer.
Comme on va le voir dans la suite de cet article, il peut y contribuer à travers différents mécanismes, mais ce n’est en aucun cas un brûleur de graisse.
2) Le vinaigre de cidre est riche nutritionnellement
On entend très souvent que le vinaigre doit ses nombreuses vertus à sa richesse nutritionnelle, ce qui est complètement faux !
Le vinaigre de cidre est pauvre d’un point de vue nutritionnel :
- Il est pauvre en calorie,
- Il contient à peine 1g de glucides,
- Aucun lipide ni protéine,
- Il ne contient aucune vitamine,
- Très peu de minéraux.
Le seul minéral contenu dans le vinaigre de cidre dans une quantité raisonnable, c’est le Potassium 😃.
Mais encore une fois, les quantités sont bien trop faibles pour en tenir compte dans le cadre d’une alimentation saine et équilibrée.
3) Le vinaigre de cidre est un énergisant naturel
Absolument pas, il est aussi énergique que votre eau minérale 😃 !
Comme je vous l’ai dit tout à l’heure, le vinaigre de cidre est extrêmement peu calorique, ce qui veut dire qu’il fournit très peu d’énergie au corps.
Donc, ne comptez pas sur lui pour être votre « booster » du matin 😊.
« Mais alors Hakim, c’est quoi l’intérêt d’en consommer alors ? »
Le vinaigre de cidre a beaucoup de bienfaits, mais qui ne sont absolument pas liés aux nutriments présents à l’intérieur, mais à autre chose que vous allez découvrir tout de suite 😉.
Vous n'avez pas le temps de lire cet article maintenant ?
Recevez-le tout de suite en version PDF sur votre boite email pour le lire plus tard :
4. Les 4 bienfaits sur votre santé
Avant de rentrer dans les détails et de vous parler des différents bienfaits du jeûne sur votre santé et votre poids, j’aimerais être totalement transparent avec vous au sujet des études qui vont suivre.
Sachez qu’elles sont à prendre avec des pincettes pour la simple et bonne raison qu’il y a très peu d’études de qualité au sujet du vinaigre de cidre, certaines sont intéressantes, mais pas toutes.
La majorité des études ont :
- soit été réalisées sur des animaux (essentiellement des rats),
- ou soit elles ont été faites sur un échantillon trop faible de personnes,
- ou soit durant une trop courte période de temps.
Donc difficile d’avoir un avis clair, défini et prouvé à 1000% sur le sujet, mais je vais tout de même vous dire ce que j’en pense 😃.
Comme vous savez, j’essaye d’être toujours le plus transparent possible avec vous alors je me devais de vous avertir avant 😊.
Maintenant que c’est dit, on peut passer aux 4 bienfaits du jeûne sur votre santé.
1) Le vinaigre de cidre pourrait réduire le risque de maladies cardiovasculaires
Vous n’êtes pas sans savoir que les plus grandes causes de mortalité au Monde sont imputées aux maladies cardiovasculaires (et non au Coronavirus hein ? 😉).
Selon l’OMS, on estime qu’il y a près de 17,7 millions de décès par an causés par des maladies cardiaques, ce qui correspond à environ 31% de la mortalité mondiale totale.
Comment le vinaigre de cidre peut vous aider à réduire le risque ?
En vous permettant de :
- réduire les inflammations causées sur vos artères,
- augmenter le niveau de cholestérol HDL (le « bon »)
- réduire le niveau de cholestérol LDL oxydé (le « mauvais »)
Ce qui aura pour conséquence de réduire l’athérosclérose (les plaques qui se forment sur vos artères) qui est un facteur de risque cardiovasculaire majeur.
Une étude iranienne, réalisé sur 8 semaines, a montré que la prise de 30 ml de vinaigre de cidre 2 fois par jour permettrait de réduire le niveau de « mauvais cholestérol » (LDL oxydé), de triglycérides (graisses corporelles) dans le sang et d’augmenter légèrement le niveau de « bon cholestérol » chez les humains.
À prendre, une nouvelle fois, avec des pincettes parce que j’ai trouvé une autre étude, cette fois-ci Américaine qui, au contraire, ne montre aucun impact du vinaigre sur les triglycérides et le cholestérol 😃.
Autre chose, les radicaux libres, qui sont des petits composants toxiques présents dans votre corps et qui perturbent son fonctionnement, ont la capacité d’oxyder votre cholestérol LDL (le mauvais) et de favoriser la formation de plaques sur les parois de vos artères.
J’ai trouvé une étude turque, réalisée sur des souris, et qui a montré que le vinaigre de cidre pourrait réduire le nombre de ces radicaux libres qui endommagent les cellules de votre corps.
Ce qui, à terme, pourrait fluidifier votre circulation sanguine comme le montre cette étude 😉.
2) Le vinaigre de cidre pourrait réduire la pression artérielle
La pression artérielle, c’est la pression (ou force) du sang dans les artères circulant dans l’ensemble du corps.
Ça corresponds à la tension que vous prend votre médecin à l’aide d’un tensiomètre qu’il va placer autour de votre bras lorsque vous êtes en consultation 😉.
Lorsque cette tension est trop élevée, on parle d’hypertension (14 ou supérieur) et lorsqu’elle est trop basse, on parle d’hypotension (9 ou inférieur).
L’hypertension artérielle, sur le long terme, peut avoir des conséquences sur :
Votre cœur : il va augmenter son activité donc il se fatiguera plus vite, ce qui peut avoir pour conséquence une insuffisance cardiaque.
Vos artères : la pression peut faire durcir vos artères, ce qui va créer des petites lésions dans la paroi des vaisseaux et ce sont ces lésions qui sont à la source d’obstruction, de risque d’infarctus, AVC, etc.
D’où l’importance de faire en sorte de réduire votre pression artérielle, et pour cela, le vinaigre de cidre pourrait vous être utile selon plusieurs études (réalisées sur des animaux je précise).
Une étude japonaise, publiée dans le magazine « Bioscience, Biotechnology and Biochemistry » en 2001, a été réalisé sur des rats obèses et celle-ci a montré que l’acide acétique (présent dans le vinaigre de cidre) avait permis une réduction de la pression artérielle, mais aussi de l’activité enzymatique de la rénine, comparée au groupe qui n’en avait pas consommé.
Les chercheurs ont également pu constater une réduction de la masse corporelle sur les rats qui avaient reçus de l’acide acétique (ils avaient perdu environ 2 kilos de plus en 12 semaines.)
Une autre étude japonaise, toujours réalisé sur des rats, a montré également une baisse de l’activité enzymatique de la rénine en consommant de l’acide acétique.
D’autres petites études (comme celle-ci et celle-là), réalisées sur des rats toujours, ont montré que l’acide acétique pourrait réduire la pression artérielle en inhibant l’enzyme responsable de la constriction des vaisseaux sanguins.
Je n’ai pas encore trouvé d’étude en ce sens réalisée sur des êtres humains (alors à prendre avec des pincettes 😃), mais je ne manquerais pas de les ajouter dès lors que j’aurais plus de données à ce sujet 😉.
3) Le vinaigre de cidre pourrait être un remède efficace contre le reflux gastro-œsophagien
Vous avez sans doute déjà dû ressentir cette sensation de remontées acides assez désagréables, c’est ce qu’on appelle le reflux gastro-œsophagien (ou RGO).
C’est lorsqu’une partie du contenu acide de votre estomac va remonter vers l’œsophage qui peut engendrer, à terme, des complications comme des remontées acides, des brûlures d’estomac ou bien des maux plus importants comme des lésions ou des inflammations de l’œsophage.
Un grand nombre de personnes pensent que ce phénomène est dû à une acidité trop importante de l’estomac qui va faire remonter le surplus, et ça semble parfaitement logique, mais en réalité c’est tout le contraire.
(Je vous rassure, c’est ce que je pensais aussi avant de m’y intéresser 😃)
Je ne vais pas rentrer dans les détails (ce n’est pas le sujet) mais lorsque vous réduisez l’acidité de votre estomac (avec des antiacides par exemple) :
Vous soulagez les symptômes, mais ne réglez pas la source du problème des remontées acides, bien au contraire.
Vous réduisez la capacité de votre estomac à décomposer les aliments et à tuer les mauvaises bactéries.
(La bactérie Helicobacter Pylori, par exemple, a la capacité de réduire davantage l’acidité de votre estomac)
C’est le manque d’acidité qui est à la source d’un dysfonctionnement de la valve (ou sphincter) qui, en temps normal, va s’ouvrir uniquement pour laisser entrer les aliments puis se refermer, mais qui, lors d’un dysfonctionnement, va rester ouverte laissant au passage remonter l’acide gastrique vers l’œsophage :

Ces remontées acides sont donc causées par un manque d’acidité de l’estomac.
Et, à votre avis, si votre estomac est trop peu acide, c’est quoi la solution ? 😃
C’est tout simplement d’ajouter plus d’acidité et le vinaigre de cidre (une nouvelle fois) prend toute son importance.
Je n’ai encore trouvé aucune étude officielle qui confirme que le vinaigre de cidre est efficace pour traiter le reflux gastrique, MAIS…
Pour avoir essayer personnellement, comme beaucoup d’autres personnes qui partagent leurs retours d’expériences, j’ai pu constaté que c’était très efficace : le vinaigre de cidre calme immédiatement cette sensation de remontée acide.
Les seules données que j’ai trouvées proviennent d’une thèse de plusieurs étudiants et qui a montrée que le vinaigre de cidre non filtré et non pasteurisé pourrait réduire le reflux gastrique et prévenir le risque de brûlure d’estomac.
Le vinaigre de cidre pourrait également faciliter la destruction des mauvaises bactéries grâce à ses propriétés antiseptiques.
J’ai trouvé aussi une autre étude qui montre que le vinaigre peut aider votre corps à combattre certaines bactéries responsables de l’intoxication alimentaire comme la bactérie E. coli (pour Escherichia coli).
Dans cette étude, le vinaigre avait permis de réduire le nombre de bactéries de l’ordre de 90% et de virus de 95%.
4) Le vinaigre de cidre pourrait aider à l’absorption des nutriments
Comme vous savez, pour bien absorber les nutriments présents dans les aliments, votre corps sécrète des sucs gastriques qui seront chargés de les réduire en « bouillis » dans l’estomac.
Cette décomposition est nécessaire pour que votre intestin puisse ensuite facilement en extraire les différents nutriments avant d’évacuer « les restes » 😃.
Si l’aliment n’est pas bien décomposé, votre intestin ne pourra pas bien effectuer cette absorption, ce qui pourrait à terme conduire à des carences en nutriments.
Seul problème : l’acide chlorydrique présent dans les sucs gastriques diminue avec l’âge, comme le montre cette étude.

Ce qui veut dire que plus vous vieillissez et moins votre estomac est acide.
Et comme on a vu toute à l’heure, moins votre estomac est acide, moins votre corps pourra les décomposer et par conséquent l’absorption des nutriments sera moins efficace…
C’est à ce moment-là que le vinaigre de cidre rentre en scène 😃.
Grâce à sa concentration en acide acétique (qui a, je vous le rappelle, un PH de 2,4 très proche de l’acidité gastrique de 2), la consommation régulière de vinaigre de cidre peut vous aider à réduire le pH de votre estomac (le rendre plus acide).
Et croyez-moi, ce phénomène d’estomac trop alcalin touche beaucoup plus de personnes qu’on le pense 😉.
Maintenant que l’on a vu les différents bénéfices santé que vous pouvez obtenir grâce au vinaigre de cidre, passons à la question que vous devez sans doute vous poser actuellement : « est-ce que le vinaigre de cidre peut vous aider à maigrir plus rapidement ? »
Et c’est la question à laquelle je vais essayer de répondre maintenant 😃.
Vous n'avez pas le temps de lire cet article maintenant ?
Recevez-le tout de suite en version PDF sur votre boite email pour le lire plus tard :
5. Le vinaigre de cidre peut-il vraiment aider à perdre de la graisse ?
Ma réponse est simple : OUI !
Fin de l’article, c’était un plaisir, je vous souhaite une excellente journée 😃…
Bon rentrons un petit peu plus dans les détails quand même.
De quelle manière le vinaigre de cidre peut impacter votre poids ?
C’est ce qu’on va voir tout de suite avec quelques études tirées de la littérature scientifique.
Si vous avez pour objectif de perdre de la graisse, le vinaigre de cidre pourrait vous y aider de 4 façons :
1) La réduction de votre appétit
C’est mathématique, si vous mangez moins, vous favorisez la perdre de graisse.
Mais attention, il y a mangé moins ET mangé moins 😃 !
Je ne parle pas de vous forcer à manger moins, à vous affamer, à compter vos calories ou je ne sais quoi d’autres qui va engendrer des frustrations et perturber le fonctionnement normal de votre corps.
Le but étant de garder cette habitude de toujours manger à votre faim (c’est la base 😃), mais de réduire votre appétit naturellement et pour cela le vinaigre de cidre pourrait vous être utile.
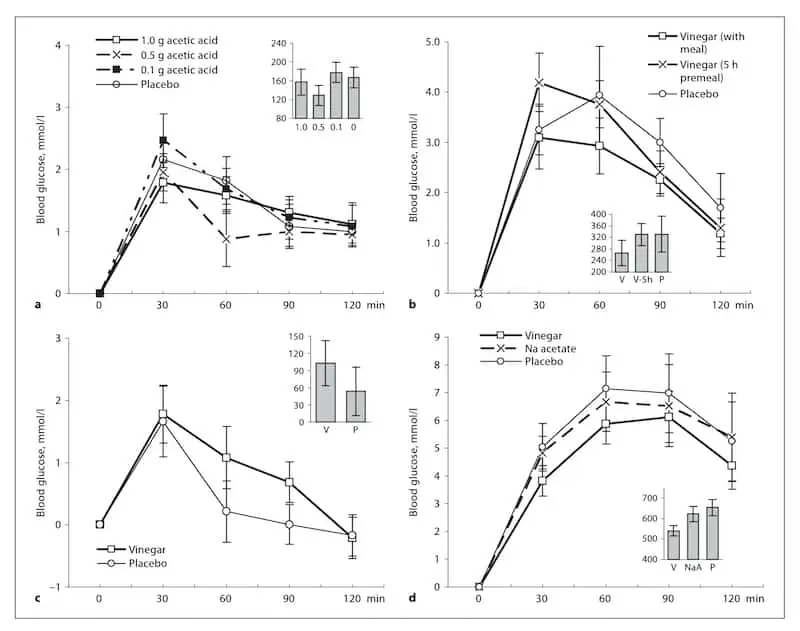
Cette étude, par exemple, a montré que l’acétate (un composant de l’acide acétique) pourrait inhiber la région de votre cerveau qui contrôle votre appétit à l’aide d’un mécanisme homéostatique, ce qui, par conséquent, pourrait réduire l’apport calorique.
Cette étude, réalisée sur un petit échantillon de 11 personnes, a montré que les sujets consommaient entre 200 et 275 calories de moins en moyenne lorsqu’ils associaient du vinaigre à leurs repas.
Pour finir, j’ai trouvé une autre étude de 2005, publié dans le journal « European Journal of Clinical Nutrition », qui a montré que les sujets qui avaient consommé de l’acide acétique avec du pain se sentaient plus rassasiés que ceux qui n’avaient mangé que du pain.
Cette sensation de satiété est principalement due à la réduction de la réponse glycémique de l’ordre de 20 à 40%, et lorsque vous stabilisez votre glycémie, vous réduisez naturellement les fringales et les envies de manger des saloperies 😃.
Et plus intéressant encore, les chercheurs ont constaté que plus ils augmentaient les doses d’acide acétique (composant phare du vinaigre) et plus les sujets étaient rassasiés rapidement.
À noter que les sujets avaient également un pic d’insuline qui était moins élevé jusqu’à 90 minutes après le repas.
Ce qui fait une parfaite transition pour vous parler du second avantage 😉.
2) La réduction de votre sucre sanguin
Vous savez que lorsque vous mangez un repas sucré, vous allez élever votre niveau de sucre sanguin.
Votre pancréas va alors libérer de l’insuline qui aura pour fonction de réduire votre sucre sanguin en l’envoyant vers votre foie, là où il sera converti en graisse et stocké dans vos réserves.
Si vous souhaitez en savoir plus sur les vraies causes et solutions pour perdre de la graisse, je vous redirige vers mon super guide 😉 :

Donc logiquement, si vous souhaitez perdre de la graisse plus rapidement, il va vous falloir réduire le sucre présent dans votre repas afin de libérer le minimum d’insuline possible.
Et, encore une fois, le vinaigre de cidre peut vous y aider 😃.
Une étude, publiée dans le journal « American Association of Diabetes » en 2004 a été réalisé sur des personnes atteintes de diabète de type II.
Les participants ont consommé un petit déjeuner composé d’un bagel avec du beurre et d’un jus d’orange.
20 minutes après leur repas, ils ont été divisés en 2 groupes :
un groupe à qui l’on a donné 20ml de vinaigre de cidre.
un autre groupe à qui l’on a donné un placebo. Pour information, un placebo est une substance inactive présentée sous la forme d’un médicament mais qui n’a aucun effet pharmacologique dans la pathologie qu’il est censé traiter, en gros c’est du vent quoi 😃.
Les chercheurs ont ensuite pris le niveau de leur glycémie 30 puis 60 minutes après le repas, et ils ont constaté que les participants du groupe, qui avaient consommés du vinaigre de cidre, avaient un niveau de sucre sanguin significativement plus bas que l’autre groupe.

Une autre étude de 2015, cette fois-ci randomisé, a également montré que le vinaigre de cidre améliorait la façon dont le corps absorbait le glucose mais également la sensibilité à l’insuline dont on va parler dans le point suivant 😉.
Une autre petite étude a été réalisé sur des personnes en bonne santé et celle-ci a montré que le vinaigre de cidre pourrait réduire le niveau de sucre sanguin de l’ordre de 31,4% après avoir consommé 50 grammes de pain blanc (qui, je vous le rappelle, est digéré extrêmement vite).
Et pour terminer sur ce point, j’ai trouvé une autre étude sur des sujets, toujours atteints de diabète de type II, que l’on a divisé en 2 groupes :
Un à qui l’on a donné un en-cas composé de vinaigre de cidre et d’aliment riche en protéine chaque soir.
Un autre groupe qui n’avait reçu que l’encas riche en protéine.
Résultat : les sujets qui avaient consommé du vinaigre de cidre avaient un niveau de sucre sanguin au réveil plus bas que ceux qui n’en avaient pas reçus.

Et n’oubliez pas ce que je vous ai souvent dit :
Votre niveau de sucre sanguin est lié à l’hormone de l’insuline qui elle-même est liée à votre poids 😃.
Vous réduisez votre niveau de sucre sanguin, alors vous réduisez votre niveau d’insuline et donc vous perdez de la graisse 😉.
3) L’augmentation de la sensibilité à l’insuline
Comme je vous l’ai souvent dit dans mes différents articles, plus votre corps s’habitue à sécréter de l’insuline et moins il en devient sensible.
Moins vous êtes sensible à l’insuline et plus votre corps devra en sécréter pour obtenir le résultat souhaité (réduire votre niveau de sucre sanguin).
Ce qui veut dire que pour un seul et même repas, une personne obèse sécrétera plus d’insuline qu’une personne mince.
Ce qui se vérifie sur le graphique ci-dessous provenant de cette étude :

Comme vous pouvez le voir, la sécrétion d’insuline est supérieure chez une personne obèse comparativement à une personne mince.
Et plus vous avez d’insuline qui circulent dans votre corps et plus celui-ci stockera du gras (en envoyant du sucre dans votre foie pour le convertir).
Quel rapport avec le vinaigre de cidre ?
Très bonne question 😃.
Une étude a montré que le vinaigre de cidre pourrait justement augmenter la sensibilité à l’insuline de l’ordre de 34% chez des sujets atteint de diabète de type II ou de résistance à l’insuline (ou syndrome métabolique).
Si vous ne savez pas ce qu’est la résistance à l’insuline, je vous redirige vers mon article dédié pour que vous puissiez mieux comprendre 😃.
J’ai trouvé également une méta-analyse iranienne qui a montré une réduction du niveau de glucose, d’insuline, mais aussi une plus grande sensibilité à cette hormone en ajoutant du vinaigre de cidre à un repas comparé aux personnes qui avaient ingéré un placebo.
4) Le ralentissement de la vidange gastrique
Mais c’est quoi au juste la vidange gastrique ? 😃
C’est lorsque votre estomac va se vider progressivement après votre repas.
C’est parfait lorsque vous avez de la graisse à perdre 😉.
Ça vous évitera de vivre le scénario suivant :
Vous mangez une barre de chocolat, puis quelques minutes après, vous avez de nouveau faim, vous en prenez une nouvelle, puis quelques minutes après, une nouvelle et 1h après vous avez fini votre paquet 😃.
Parce que les sucres transformés (vides de nutriments) sont digérés à la vitesse de l’éclair par votre corps, donc il vous en faut plus pour satisfaire votre appétit qui, au final, ne sera jamais rassasié avec ce type de produit 😃.
J’ai rédigé un article complet sur la dangerosité du sucre pour que vous puissiez bien comprendre le mécanisme et comment vous débarrasser de votre addiction pour tous ces produits transformés.

Vous connaissez sans doute les 3 macros nutriments : glucides (sucres), lipides (graisses) et protéines (acides aminés).
Les glucides sont les macros nutriments qui sont digérés les plus rapidement par votre corps, suivi ensuite des protéines et pour terminer sur les lipides.
Ce qui vous montre, une nouvelle fois, à quel point les graisses seront vos meilleures amies dans votre lutte contre votre poids, et que ceux qui vous recommandent de les éviter comme la peste vous racontent des conneries.
Si vous aviez encore des doutes à ce sujet, je vous invite à lire de ce pas mon article sur les mensonges autour des graisses 😉.

Et si je vous disais que le vinaigre de cidre pourrait également ralentir la vitesse à laquelle votre estomac va se vider ? 😃
Intéressant, n’est-ce pas ? 😉
Cette étude a montré que l’acide acétique (l’élément essentiel du vinaigre de cidre) permettait de ralentir la digestion des aliments, ce qui aurait pour conséquence de réduire la glycémie et la réponse insulinique 😊.
J’ai trouvé une autre étude qui a montré qu’associer 10ml de vinaigre de cidre à un repas riche en glucose pourrait réduire de 20% la glycémie après le repas en ralentissant sa digestion.

C’est logique :
Si je vous prends un exemple concret et au goût du jour (j’écris cet article en pleine épidémie de COVID-19), c’est comme si votre corps était un hôpital, que les patients serait le sucre présent dans vos aliments, le personnel médical, l’insuline et que la salle d’attente serait votre estomac 😃.
(J’aime bien les métaphores 😃).
Si vous faites sortir tous les patients de la salle d’attente en même temps, le personnel médical aura du mal à tous les traiter simultanément et il va donc devoir faire venir du renfort (du nouveau personnel soit de l’insuline 😉).
En revanche, si vous faites sortir les malades (sucres) aux compte-gouttes, le personnel médical (insuline) va pouvoir mieux gérer l’afflux sans faire appel à du renfort (de nouvelles molécules d’insuline).
Vous m’excuserez pour ma métaphore, je viens de me rendre compte que je suis parti très loin 😃.
Je crois que le confinement est en train de me monter un petit peu à la tête 😃.
6. Ce que je pense du vinaigre de cidre pour maigrir
Voilà, cet article touche à sa fin et pour le conclure en beauté, j’aimerais vous partager mon point de vue sur l’utilisation du vinaigre de cidre dans un objectif de perte de graisse.
Je pense que oui, le vinaigre de cidre peut vous aider à perdre de la graisse comme le montre cette étude randomisée sur 12 semaines, réalisée sur des sujets suivant un régime hypocalorique (ce que je vous déconseille) et ayant été divisé en 2 groupes :
Un groupe ayant consommé chaque jour 30 ml de vinaigre de cidre.
Un autre groupe ayant simplement suivi le régime hypocalorique.
Cette étude a montré que le groupe ayant consommé du vinaigre de cidre avait une réduction plus importante de leur masse corporelle, mais aussi de la graisse abdominale comparée au groupe qui avait seulement suivi le régime hypocalorique.
Donc oui, je pense que le vinaigre de cidre peut être d’une aide non négligeable pour vous accompagner durant votre perte de graisse, et ce pour 3 principales raisons :
1) l’amélioration de la sensibilité à l’insuline et la réduction de la réponse insulinique après le repas.
2) la réduction du niveau de sucre sanguin chez les personnes qui ont un niveau élevé
3) la meilleure absorption des nutriments, essentielle, même dans le cadre d’une perte de graisse.
Mais attention, j’émets tout de même une réserve…
Comme tous les « produits miracles », n’attendez pas de lui qu’il fasse le travail à votre place 😃.
Le vinaigre de cidre n’a rien de magique et ce n’est absolument pas le produit miraculeux qu’on vous vend un peu partout sur Internet !
Compte tenu de la pauvreté des études de qualité réalisée sur le sujet, il n’y a aucune certitude que le vinaigre de cidre puisse vous aider à maigrir rapidement.
Mais il faut tout de même reconnaitre que les études réalisées pour le moment sont plutôt prometteuses et j’espère qu’elles seront reconduites sur des humains.
Donc vous l’aurez compris, je ne vous conseille pas de reposer tous vos espoirs sur l’efficacité du vinaigre de cidre parce que, croyez-moi, vous risquez d’être profondément déçu.
En revanche, comme on a pu le voir ensemble, il peut s’avérer être un excellent complément dans votre lutte contre votre surplus de gras.
Il possède tout de même certains bienfaits qui ne sont pas négligeables, notamment sur votre santé et votre perte de graisse grâce à l’acide acétique qui le compose.
Si vous associez la consommation de vinaigre de cidre avec l’alimentation que je vous recommande pour maigrir (ce que je vous conseille de faire), vous pourriez rendre cette alimentation encore plus efficace et, par conséquent, accélérer vos résultats 😃.

Mais avant de vous précipiter pour aller chercher votre St Graal 😃, laissez-moi préciser une dernière chose :
Ainsi, vous aurez la garantie d’avoir un produit sans additif, pauvre en pesticides, mais riche en enzyme et en bonnes bactéries.
Si vous souhaitez avoir mon avis, voici celui que je vous recommande.
Personnellement, depuis que j’ai découvert le vinaigre de cidre, c’est celui que j’utilise presque quotidiennement dans mes salades (j’adore la salade 😃) et j’ai ressenti une nette amélioration sur ma digestion.
Et encore une dernière chose avant de vous laisser tranquille (promis 😃), j’aimerais vous avertir sur son utilisation (si vous comptez en utiliser) :
1) Je vous déconseille de le prendre pure car l’acidité du vinaigre de cidre pourrait fragiliser l’email de vos dents, je vous conseille plutôt de diluer une cuillère à soupe de vinaigre de cidre dans un grand verre d’eau 😉.
2) Je vous déconseille de vous en servir comme blanchiment dentaire comme il est souvent recommandé pour la même raison que ci-dessus, logique.
3) Si vous prenez des médicaments, demandez l’avis à votre médecin avant car le vinaigre de cidre peut interférer avec certains médicaments.
4) N’en abusez pas, ce n’est pas de l’eau, hein 😃 ? Une cuillère à soupe avant ou pendant votre repas est largement suffisante.
Voilà, dorénavant vous savez ce qu’est le vinaigre de cidre, ses bienfaits sur votre poids et votre santé et vous connaissez mon avis sur sur le sujet 😃.
Il ne me reste plus qu’à vous laisser passer à l’action 😉.
Maintenant, c’est à vous de jouer !
Qu’avez-vous pensé de cet article ?
Aviez-vous l’habitude de prendre du vinaigre de cidre ?
Connaissiez-vous ses nombreux bienfaits ?
Avez-vous pu ressentir des améliorations sur votre poids et votre santé en l’utilisant ?
Je vous laisse me répondre en commentaire de l’article ci-dessous et je me ferais un plaisir d’échanger avec vous 😃.
En attendant, moi je vous retrouve dans un prochain article.
Prenez soin de vous et à très bientôt 😉.
Hakim.
Si cet article vous a plu, n'hésitez pas à le partager sur les réseaux sociaux 😉. Ça permettra de faire découvrir ce merveilleux blog à de nouvelles personnes ❤️. Merci beaucoup 🥰.

